當前,消費電子市場上的許多耳機都配備了主動降噪(ANC)功能。目前公認做得最好的是Bose和Sony。蘋果新出的入耳式耳機Airpods Pro的降噪也很驚艷。華為也做了Freebuds 3開始探索半入耳式耳機的主動降噪。最基本的主動降噪原理大家都清楚,但整個降噪系統做得理想的公司和產品還不多。
關于耳機主動降噪(ANC)性能的客觀測試方法,目前還沒有行業標準,大家都在探索最合適的評估方法,以吻合消費者實際使用的情況。當然,行業標準的建立落后于產品的演化速度是常態。
耳機在佩戴時本身也會提供一定程度的無源噪聲衰減。
為了使測試對聲場內的定位誤差更加免疫,使用擴散聲場測量降噪。可以在混響室或普通房間中創建,房間需要足夠大,可以容納4到8個不相關的聲源。
還可以增加不平行的反射面以及人體模型,再加上被測設備的旋轉,以提高聲場的擴散性。
使用定向麥克風或聲強探頭來驗證聲場的擴散性,測試人體模型頭部和設備所占據的空間。測試頻率帶寬可以設置為100 Hz – 10 kHz。

具有八個不相關聲源的房間,用于模擬擴散場

使用規定的粉紅噪聲信號,可以提供比較合理的信噪比S/N。一般來說建議聲壓級做到90到95 dB左右。測試環境中本底噪聲盡量低。
分析可以使用1/3~1/6倍頻程。分析頻帶太窄可能會有較大計算誤差。

由于噪聲信號是不穩定的,建議多遍測量取平均,測試時間也可以略長點,比如10~30秒。
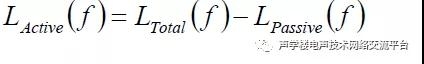
由于被動降噪(無源降噪)在測試過程中一直會存在,所以需要通過從總降噪中減去計算出的被動降噪來計算主動降噪的貢獻。

下面是五款不同的主動降噪耳機的實際測試結果。

A

B

C

D

E
從實測結果來看:
ANC主動降噪對<1kHz的低頻段噪聲衰減明顯。
被動降噪對高頻噪聲衰減明顯。
如果配合好ANC降噪和被動降噪,可以將整個頻段的降噪都有比較明顯的收益,比如像第一款A,整體頻段衰減>20dB。
部分耳機在低頻段<500Hz,尤其是第二款B比較明顯,被動降噪反倒>0,可能是由于低頻機械或者聲學的諧振和耦合。
第一款耳機A的主動降噪,在2-4kHz附近>0dB,意味著這增強了外部噪聲信號,有可能是因為ANC電路產生了一個相位差90°以內的信號,而不是差180°。
如果刻意主動增強外部噪聲信號,抵消被動降噪的效果,這樣戴上耳機也可以清晰聽到周圍的聲音,有些公司叫“環境音模式”,或者“通透模式”。
|